मुख्य सामग्रीमा जानुहोस्
Government of Nepal
Consulate General of Nepal, Hong Kong
#715, 7th Floor, Concordia Plaza, 1 Science Museum Road, East TST
भाषा चयन गर्नुहोस्
NEP
ENG
Search
मुख्य नेभिगेसनमा जानुहोस्
Important Notice
Press Release - Transit Visa
Briefing for Nepali Domestic Helpers
Nepal Consulate at the Asian Financial Forum 2026
क्रिसमस २०२५ को शुभकामना र कार्यालय बन्द रहने सूचना
New Passport List - 24 December 2025 (Macao and Hong Kong)
Information about discouraging Hundi business
New Passport List 27 Nov 2025
A.D.:
Nepal Samvat:
1146 ANALATHWA DWADASHI - 12
About Us
Introduction
Diplomatic Staff
Office Hours / Public Holidays
Nepal-Hong Kong Relations
Services
Visa
One-Way Travel Document
Document Attestation
NRN ID Card
Document Attestation
Other Documents
अधिकृत वारेशनामा
Domestic Helper Employment Contracts
Demand Attestation (Labour)
Passport New/Renewal
Press Release / Notice
Business & Investment
Received Passport Lists
Contact Us
Search
Submit
भाषा चयन गर्नुहोस्
NEP
ENG
भाषा परिवर्तन गर्नुहोस्
मुख्य नेभिगेसनमा जानुहोस्
Notice
Press Release - Transit Visa
Information about discouraging Hundi business
About Us
Introduction
Diplomatic Staff
Office Hours / Public Holidays
Nepal-Hong Kong Relations
Services
Visa
One-Way Travel Document
Document Attestation
NRN ID Card
Document Attestation
Other Documents
अधिकृत वारेशनामा
Domestic Helper Employment Contracts
Demand Attestation (Labour)
Passport New/Renewal
Press Release / Notice
Business & Investment
Received Passport Lists
Contact Us
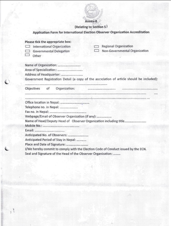
Call for International Observers to observe Nepal Elections
Call for International Observers to observe Nepal Elections
December 22, 2025, 02:53 PM
A
A
Related news
See more
Press Release - Nepal: Peaks & Peace 2026
Press Release - Transit Visa
Briefing for Nepali Domestic Helpers
Press Release: Nepal Promotion Expo 2026 Hong Kong